beat365英国官方网站
beat365英国官方网站 数学与大数据学院 欢迎您!
今天是
学校首页
首页
学院概况
师资队伍
党的建设
团学工作
招生就业
下载专区
教学科研平台
申报国家级教学成果奖材料展示
当前位置:
首页
>
教学研究
> 正文
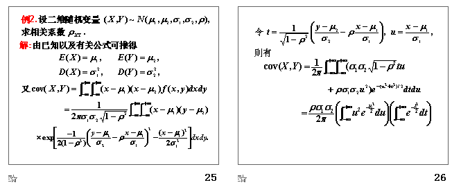
课堂教学设计之三——相关系数(白秀)
来源:
发布时间:2016-11-14
字体大小
【
大
中
小
】
打印本页
【关闭窗口】
友情链接
教育部
中国数学学会
国家自然科学基金
内蒙古教育厅
高等学校大学数学发展中心
内蒙古科技厅
教育科研网
爱课程
网易公开课
知网